2.5. Определение расхода воды на пожаротушение
Этот расход определяется в зависимости от числа жителей и характера застройки
по СНиП [13]: расчетное число пожаров – nп = 2; расход воды на 1 пожар жилого здания – q пж = 35 л/с; продолжительность тушения пожара – 3 часа.
Расход воды на наружное пожаротушение на промышленном предприятии зависит от площади предприятия, объема зданий, степени их огнестойкости и категории производства по пожарной опасности. Принимаем норму расхода воды на 1пожар промышленного здания (машиностроительный завод) qпп = 20 л/с и на 1пожар промышленного здания (радиозавод) q пп = 10 л/с.
При наличии в городе промышленных предприятий общий расход на пожаротушение определяется как сумма большего необходимого расхода плюс половинаменьшего необходимого расхода.
Общий расход на наружное пожаротушение
Q пож.нар = 2 *35 + 2 *(20 + 10)/ 2 = 100 л/с.
Расход воды на внутреннее пожаротушение принимают по СНиП [13, табл. 2],из расчета одновременного действия двух пожарных струй по 2,5 л/с
Q пож.вн. = 2,5 *2 = 5 л/с
Общий расход воды на пожаротушение в городе и на предприятиях
Q пож = Q пож.нар + Q пож.вн = 100 + 5 = 105 л/с.
2.6. Общий расчетный расход воды в городе в суткинаибольшего водопотребления
Общий расход воды в городе – это сумма всех необходимых расходов, кроме
расхода на пожаротушение, т.к. этот объем должен храниться в водонапорном баке или в специальных резервуарах:
расход воды на хозяйственно-питьевые нужды – 43 804,8;
расход воды на нужды бань – 1872;
расход воды на нужды прачечных – 2 100;
расход воды на поливку улиц – 1 460;
расход воды на машиностроительном заводе – 4 300,16 ;на радиозаводе – 5 401,95
Итого: – 58 938,91 м3/сут.
2.7. Определение суммарных расходов
Распределение расхода воды на хозяйственно-питьевые нужды населения принято с учетом ранее рассчитанного коэффициента часовой неоднородности Кч =1,4 (см. п. 5.2.1 и табл. 3).
На машиностроительном и радиозаводе имеются свои резервуары и насоснаястанция, вода из городского водопровода будет поступать в эти резервуары примерно равномерно в течение каждой смены, расходоваться она будет на технологические нужды по графику завода. При Кч = 1 технологические расходы распределяются равномерно в течение суток. При Кч= 1,2 и двухсменном режиме работы предприятия в первую (дневную) смену расходуется 60 % воды от суточного
расхода, а во вторую – 40 %.
Распределение расхода воды на хозяйственно-питьевые нужды на промыш-
для «холодных» цехов К = 2,5;
для «горячих цехов» К = 3 (табл. 5).
Распределение расхода воды на душевые нужды по часам смены производитсяпо табл. 7.
С учетом всего этого составляется таблица распределения расходов воды в городе по часам суток наибольшего водопотребления (табл. 4) и определяется в часнаибольшего расхода воды.
Таблица 4
Часы суток | Хоз расходы города 43804,8 = 100% | Поливка м3 | Бани м3 | Прачечные м3 | Машиностроительный завод | Радиозавод | Сумарные расходы города | |||||||||
% | м3 | Технолог расходы м3 | Хоз – питьевые расходы м3 | Душевые расходы м3 | Технолог расходы м3 | Хоз – питьевые расходы м3 | Душевые расходы м3 | м3 | % | |||||||
Хол цеха | Гор цеха | |||||||||||||||
0..1 | 2,75 | 1 204,63 | – | – | – | 152,5 | 6,7 | 7,67 | 47,1 | – | – | – | 1 418,60 | 2,407 | ||
| 1..2 | 2,95 | 1 292,24 | – | – | – | 152,5 | 5,17 | 2,56 | – | – | – | – | 1 452,47 | 2,464 | ||
2..3 | 2,45 | 1 073,22 | – | – | – | 152,5 | 5,17 | 5,11 | – | – | – | – | 1 236,00 | 2,097 | ||
3..4 | 2,6 | 1 138,92 | – | – | – | 152,5 | 5,17 | 5,11 | – | – | – | – | 1 301,70 | 2,209 | ||
4..5 | 3,8 | 1 664,58 | – | – | – | 152,5 | 5,17 | 7,67 | 13,82 | – | – | – | 1 843,74 | 3,128 | ||
5..6 | 4,1 | 1 796,00 | 243,333 | – | – | 152,5 | 5,17 | 2,56 | 13,82 | – | – | 2 213,38 | 3,756 | |||
6..7 | 4,5 | 1 971,22 | 243,333 | – | – | 152,5 | 5,17 | 5,11 | 13,82 | – | – | – | 2 391,15 | 4,057 | ||
7..8 | 4,9 | 2 146,44 | 243,333 | 117 | 131,25 | 152,5 | 5,17 | 5,11 | 13,82 | 379,5 | – | – | 3 194,12 | 5,420 | ||
8..9 | 4,9 | 2 146,44 | – | 117 | 131,25 | 152,5 | 10,95 | 10,24 | 47,1 | 379,5 | 41,75 | 3 049,99 | 5,175 | |||
9..10 | 5,85 | 2 562,58 | – | 117 | 131,25 | 152,5 | 8,43 | 3,41 | – | 379,5 | 15,33 | – | 3 370,00 | 5,718 | ||
10..11 | 4,9 | 2 146,44 | – | 117 | 131,25 | 152,5 | 8,43 | 6,83 | – | 379,5 | 15,33 | – | 2 957,28 | 5,018 | ||
11..12 | 4,7 | 2 058,83 | – | 117 | 131,25 | 152,5 | 8,43 | 6,83 | – | 379,5 | 15,33 | – | 2 869,67 | 4,869 | ||
12..13 | 4,4 | 1 927,41 | – | 117 | 131,25 | 152,5 | 8,43 | 10,24 | 19,34 | 379,5 | 15,33 | 5,569 | 2 766,57 | 4,694 | ||
13..14 | 4,1 | 1 796,00 | – | 117 | 131,25 | 152,5 | 8,43 | 3,41 | 19,34 | 379,5 | 15,33 | 5,569 | 2 628,33 | 4,460 | ||
14..15 | 4,1 | 1 796,00 | – | 117 | 131,25 | 152,5 | 8,43 | 6,83 | 19,34 | 379,5 | 15,33 | 5,569 | 2 631,75 | 4,465 | ||
15..16 | 4,4 | 1 927,41 | – | 117 | 131,25 | 152,5 | 8,43 | 6,83 | 19,34 | 253 | 15,33 | 5,569 | 2 636,66 | 4,474 | ||
16..17 | 4,3 | 1 883,61 | – | 117 | 131,25 | 152,5 | 6,7 | 7,67 | 65,89 | 253 | 19,91 | 41,75 | 2 679,28 | 4,546 | ||
17..18 | 4 | 1 752,19 | – | 117 | 131,25 | 152,5 | 5,17 | 2,56 | – | 253 | 10,21 | – | 2 423,88 | 4,113 | ||
18..19 | 4,2 | 1 839,80 | 243,333 | 117 | 131,25 | 152,5 | 5,17 | 5,11 | – | 253 | 10,21 | – | 2 757,37 | 4,679 | ||
19..20 | 4,4 | 1 927,41 | 243,333 | 117 | 131,25 | 152,5 | 5,17 | 5,11 | – | 253 | 10,21 | – | 2 844,98 | 4,827 | ||
20..21 | 4,5 | 1 971,22 | 243,333 | 117 | 131,25 | 152,5 | 5,17 | 7,67 | 13,82 | 253 | 10,21 | 5,29 | 2 910,46 | 4,938 | ||
21..22 | 4,8 | 2 102,63 | – | 117 | 131,25 | 152,5 | 5,17 | 2,56 | 13,82 | 253 | 10,21 | 5,29 | 2 793,43 | 4,740 | ||
22..23 | 4,5 | 1 971,22 | – | 117 | 131,25 | 152,5 | 5,17 | 5,11 | 13,82 | 253 | 10,21 | 5,29 | 2 664,57 | 4,521 | ||
23..24 | 3,9 | 1 708,39 | – | – | – | 152,5 | 5,17 | 5,11 | 13,82 | – | 10,21 | 5,29 | 1 900,49 | 3,225 | ||
ИТОГО | 43 804,8 | 1460 | 1872 | 2100 | 3660 | 155,74 | 136,42 | 348,01 | 5060 | 211,95 | 126,94 | 58 935,84 | 100 | |||
Час наибольшего потребления воды: 9…10 ч (5,718 %).
Строим график водопотребления (рис. 2).
Рис. 2. График водопотребления
studfiles.net
Требуемый расход огнетушащих веществ – wiki-fire.org
Требуемый расход огнетушащих веществ — это весовое или объемное количество огнетушащего вещества, подаваемого в единицу времени на ликвидацию горения или защиты (охлаждения) объекта, которому угрожает опасность[1].По требуемому расходу оценивают необходимую скорость сосредоточения огнетушащего вещества, условия локализации пожара, определяют необходимое количество технических приборов подачи огнетушащего вещества (водяных и пенных стволов, пеногенераторов и других)
Требуемый расход огнетушащего вещества на ликвидацию горения вычисляют по формуле:
| (1) |
где: – требуемый расход огнетушащего вещества на ликвидацию горения, л/с, кг/с, м3/с; – величина расчетного параметра пожара: площадь – м2, объем – м3, периметр – м; – интенсивность подачи огнетушащего вещества для ликвидации горения.
Требуемый расход огнетушащих веществ на защиту объекта определяют по формуле:
| (2.1) |
где: – требуемый расход воды на защиту объекта, л/с; – величина расчетного параметра защиты: площадь, м2, периметр или часть длины защищаемого участка, м; – поверхностная (или соответственно линейная) интенсивность подачи воды для защиты в зависимости от принятого расчетного параметра, л/(м2•с), л/(м•с). В практических расчетах, интенсивность подачи воды для защиты принимается 0,25 интенсивности подачи огнетушащих веществ на тушение, или:
| (2.2) |
Защищаемую площадь определяют с учетом условий обстановке на пожаре и оперативно-тактических факторов.
С учетом ликвидации горения и защиты объектов формула требуемого расхода огнетушащего вещества будет иметь вид:
| (3) |
При заполнении помещения (объема) пеной средней или высокой кратности требуемый расход пены для заполнения помещения определяют по формуле:
| (4) |
где: – требуемый расход пены, м3/мин; — объем, заполняемый пеной, м3; τ_Р – расчетное время подачи пены, мин; – коэффициент, учитывающий разрушение пены, принимаемый в пределах 1,5…3.Пример 1: Требуемый расход воды для тушения пожара по площади
Площадь тушения пожара в помещении мастерской составляет 300м2. Требуется определить требуемый для тушения расход воды. Для определения требуемого расхода огнетушащих веществ воспользуемся формулой (1). В данном случае, расчетным параметром пожара является площадь тушения пожара. Тогда формула будет выглядеть следующим образом:
| (5) |
По таблице Интенсивность подачи воды на тушение некоторых объектов определим что интенсивность подачи воды на тушение пожаров в мастерских составляет 0,2 л/(с*м2). Подставив значения площади тушения и интенсивности подачи ОВ в формулу 5, получим:
| (5.1) |
Ответ: требуемый расход воды для тушения пожара в помещении мастерской составит 60 литров воды в секунду.1. Теребнев В.В. Пожарная тактика. Книга 1. Основы. – Еатеринбург: ООО «Издательство «Калан», 2014. – 268 с.Огнетушащие вещества
Интенсивность подачи огнетушащих веществ
Линейная скорость распространения горения
Вверх
У данной страницы нет кураторов!
www.wiki-fire.org
Расход воды на тушение – Справочник химика 21
За расчетный расход воды на тушение пожаров следует принимать один из наибольших расходов на пожаротушение одного из сооружений за исключением резервуаров хранения жидкого аммиака или наибольший суммарный расход на наружное и внутреннее пожаротушение одного из зданий. [c.197]Противопожарный водопровод высокого давления предназначен для подачи расчетных расходов воды на тушение очагов пожара, приготовление воздушно-механической или химической пены, охлаждения горящего и рядом стоящего оборудования. Забор воды из водопровода осуществляется через гидранты пожарными рукавами или насосами, а также лафетными стволами и через кольца орошения. [c.296]
Расход воды на тушение пожаров компактных фонтанов водяными струями из лафетных пожарных стволов приведен в табл. 1. [c.240]
Общие расходы воды на тушение пожара следует подсчитывать по табл. 5. [c.242]
Потребные расходы воды на тушение пожара [c.243]
Расходы воды на тушение пожара определяют по производительности генераторов и их числу. Тактико-технические данные генераторов пены и рекомендуемые схемы их использования приведены в приложении. [c.245]
Категории пожаровзрывоопасности производств являются укрупненными показателями, которые при определении требований пожарной безопасности к зданиям и сооружениям учитывают этажность, огнестойкость, пути эвакуации, вентиляции, расходы воды на тушение пожаров и др. [c.26]
РАСХОДЫ ВОДЫ НА ТУШЕНИЕ ПОЖАРА [c.199]
Расчетный расход воды на тушение пожара снаружи производственных зданий зависит от степени огнестойкости, категории производств по взрывопожарной и пожарной опасности и от строительного объема зданий. [c.199]
Расчетный расход воды на тушение пожара должен быть обеспечен при наибольшем расходе воды на другие нужды, предусмотренные СНиП по проектированию водоснабжения. [c.199]
На складах нефти и нефтепродуктов при расчете расход воды на тушение горящих резервуаров с нефтью и нефтепродуктами определяется выделением его из расхода эмульсии, состоящей из 94% воды и 6% пенообразователя. [c.199]
Средний расход воды на тушение 1 т кокса составляет 0,5 м Продолжительность тушения кокса и отстоя тушильного вагона на большинстве заводов составляет соответственно 100—130 и 30—65 сек. [c.147]
Расчетные удельные расходы воды на тушение площади зеркала пожара в зависимости от класса нефтепродукта и принятых средств пожаротушения, в соответствии с 15 норм, определяются по табл. 7. [c.84]
Из приведенных в табл. 111-1 данных следует, что удельный расход воды на тушение твердых материалов составляет примерно от 40 до 400 л/м2. [c.65]
Из этих данных видно, что расход воды на тушение снижается в четыре раза, а время тушения — в два раза при введении добавки. [c.70]
Расход воды на тушение [c.175]
В тех случаях, когда насосы подают воду непосредственно в водопроводную сеть (насосная станция второго подъема отсутствует), их производительность рассчитывают на подачу полного расчетного расхода воды на тушение пожара и максимальный расход воды на хозяйственно-производственные нужды. При этом не учитывают расход воды на поливку, мытье полов в промышленных зданиях и мойку, технологического оборудования. [c.100]
Расход воды на тушение пожаров в городах (по СНиП) исчисляется в зависимости от количества жителей, огнестойкости и этажности зданий и составляет 10—100 л/с [73]. Для промышленных предприятий расход вОды на тушение пожаров также находится в пределах 10—100 л/с и зависит от степени огнестойкости зданий, их кубатуры и категории производства. [c.102]
В тех случаях, когда насосы подают воду непосредственно в водопроводную сеть (насосная станция второго подъема отсутствует), их производительность рассчитывают на подачу полного расчетного расхода воды на тушение пожара и максимальный расход [c.123]
Расход воды на тушение пожара определяется исходя из интенсивности подачи раствора (94% воды, 6% пенообразователя) на тушение нефтепродуктов с температурой вспышки паров – -28°С и ниже (кроме нефти) — 0,08 л/с-м нефти и остальных нефтепродуктов — 0,5 л/с-м при расчетном времени тушения пожара 10 мин. [c.145]
www.chem21.info
1.3.Определение расчетных расходов воды на пожаротушение
Расчетные расходы воды для наружного пожаротушения в населенных пунктах и на промышленных предприятиях определяются по СНиП 2.04.02-84*, а для внутреннего пожаротушения по СНиП 2.04.01-85*.
1.3.1. Поселок. Так как водопровод в поселке проектируется объединенным, то согласно п. 2.23 СНиП 2.04.02-84*, при количестве жителей 28000 человек принимаем два одновременных пожара (п. 2.12, табл. 5 СНиП 2.04.01-84*), при двухэтажной застройке – расход воды 20 л/c на один пожар.
Qпоспож.нар= 220 = 40 л/c.
Расход воды на внутреннее пожаротушение прачечной, объемом 10000 м3, согласно СНиП 2.04.01-85*, п. 6.1*, таблица 1*принимаем одну струю производительностью 2,5 л/c.
Qоб.здпож.вн= 12,5 = 2,5 л/c.
Расход воды на пожаротушение в поселке
Qпоспож=Qпоспож.нар+Qпоспож.вн= 40 + 2,5 = 42,5 л/c.
1.3.2. Предприятие. Так как площадь предприятия более 150 га, то согласно п. 2.22 СНиП 2.04.02-84*на предприятии принимаем два одновременных пожара.
Согласно п. 2.14, таблица 8, примечания 1 СНиП 2.04.02-84*, расчетный расход воды для здания объемом 200 тыс. м3
Qпрпож.нар1 = 40 л/c,
а для здания объемом 300 тыс.м3
Qпрпож.нар2= 50 л/c,
Таким образом
Qпрпож.нар= 40 + 50 = 90 л/c.
Согласно СНиП 2.04.01-85*, п. 6.1, таблица 2 расчетный расход воды на внутреннее пожаротушение в производственных зданиях принимаем из расчета для здания объемом 200 тыс. м3
Qпрпож.вн1= 25 = 10 л/c,
а для здания объемом 300 тыс.м3
Qпрпож.вн2= 35 = 15 л/c,
Тогда общий расход на внутреннее пожаротушение в производственных зданиях
Qпрпож.вн=Qпрпож.вн1+Qпрпож.вн2= 10 + 15 = 25 л/c.
Расход воды на пожаротушение на предприятии
Qпрпож=Qпрпож.нар+Qпрпож.вн= 90 + 25 = 115 л/c.
1.3.3 Общий расход воды на пожаротушение в поселке и на предприятии определяем согласно п. 2.23 СНиП 2.04.02-84*, учитывая соотношение Qпоспож< Qпрпож, как сумму расхода воды на предприятии и 50% расхода в поселке
Qпожрас=Qпрпож+ 0,5Qпоспож= 115 + 0,542,5 = 136,25 л/c.
2. Гидравлический расчет наружной водопроводной сети промышленного объекта
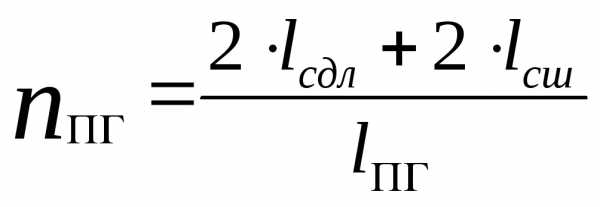
Исходные данные: длина здания lс.дл = 200 м, ширина здания lс.ш = 42 м, расстояние от трассы сети до здания lдозд = 40 м одинаково со всех сторон.
Определить: расстояние между пожарными гидрантами, количество гидрантов и их расстановку на сети.
Решение.
Определить расстояние между ПГ по графику из приложения 2. Оно составляет lПГ = 150 м.
Определить расстояние сети по длине здания по формуле (2.19)
lс.дл=200 + 2 40 = 280 м.
Определить расстояние сети по ширине здания по формуле (2.20)
lс.ш=42 + 2 40 = 122 м.
Определить количество пожарных гидрантов
,
;
Принимается
nПГ = 6.
Расстановка пожарных гидрантов на сети производится произвольно на расстоянии не более 150 м между ними. Рекомендуется начать расстановку пожарных гидрантов от наиболее удаленного от ввода ПГ-3, как показано на рисунке 2.3.
3. Определение режима работы НС-II
Обычно принимают двух или трехступенчатый режим работы НС-II. При любом режиме работы НС-IIподача насосов должна обеспечить полностью 100% потребление воды поселком. Примем двухступенчатый режим работы НС-II с подачей каждым насосом 2,5% в час от суточного водопотребления. Тогда один насос за сутки подаст 2,524 = 60% суточного расхода воды. Второй насос должен подать 100 – 60 = 40% суточного расхода воды и его нужно включать на 40 / 2,5 = 16 часов.
В соответствии с графиком водопотребления (рисунок 3.2) второй насос включается в 6 часов и выключается в 22 часа. Данный режим работы нанесён на рисунок 3.2 пунктирной линией.

Рисунок 3.2. Режим работы НС-IIи график водопотребления
Для определения регулирующей ёмкости бака водонапорной башни составим таблицу 3.2. В графе 1 проставлены часовые промежутки, а в графе 2 часовое водопотребление в % от суточного водопотребления в соответствии с графой 11 таблицы 3.1. в графе 3 подача насосов в соответствии с предложенным режимом работы НС-II(рисунок 3.2).
Если подача насосов выше, чем водопотребление поселка, то разность этих величин записывается в графу 4 (поступление в бак), а если ниже – в графу 5 (расход из бака).
Остаток воды в баке (графа 6) к концу некоторого часового промежутка определяется как алгебраическая сумма данных граф 4 и 5 (положительных при поступлении воды в бак и отрицательных при расходе из него). Например, к концу первого часа в баке накопилось 1,35% от суточного расхода воды, а к четвёртому часу 1,35 + 1,57 + 1,57 + 1,57 + 0,65= 6,71%. В пять часов водопотребление в поселке стало выше подачи насосов и к шестому часу в баке осталось 6,7 – 0,28 = 6,43% суточного расхода воды.
Регулирующая емкость бака будет равна сумме абсолютных значений наибольшей положительной и наименьшей отрицательной величины графы 6. В рассмотренном примере емкость бака башни получилась равной 6,80 + 3,54 = 10,34% от суточного расхода воды.
При выполнении курсовой работы рекомендуется проанализировать несколько режимов работы НС-II. Поставим задачу путем изменения времени включения и выключения насосов, а, также изменяя интенсивность подачи каждого насоса достигнуть минимальной емкости водонапорной башни, получим следующие значения:
Первый насос: подает воду круглосуточно с производительностью 1,5% от суточного водопотребления в час;
Второй насос: включается в работу в 6 часов и в течение 15 часов подает в час 4,27% от суточного водопотребления.
Во втором случае емкость водонапорной башни будет равна
22,35 + 0,15 = 2,5%
Второй вариант работы насосов отображен на графике водопотребления (рисунок 3.2) штрихпунктирной линией и также представлен в таблице 3.2.
Окончательно принимаем режим работы НС-II по второму варианту.
Таблица 3.2. – Водопотребление и режим работы насосов
Время суток | Часовое водопотребление (см. табл. 3.1, графа 11) | Iвариант | IIвариант | ||||||
Подача насосов | Поступление в бак | Расход из бака | Остаток в баке | Подача насосов | Поступление в бак | Расход из бака | Остаток в баке | ||
1 | 2 | 3 | 4 | 5 | 6 | 7 | 8 | 9 | 10 |
0-1 | 1,15 | 2,5 | 1,35 | – | 1,35 | 1,5 | 1,5 | – | 0,35 |
1-2 | 0,93 | 2,5 | 1,57 | – | 2,92 | 1,5 | 1,5 | – | 0,92 |
2-3 | 0,93 | 2,5 | 1,57 | – | 4,49 | 1,5 | 1,5 | – | 1,49 |
3-4 | 0,93 | 2,5 | 1,57 | – | 6,06 | 1,5 | 1,5 | – | 2,06 |
4-5 | 1,85 | 2,5 | 0,65 | – | 6,71 | 1,5 | 1,5 | 0,35 | 1,71 |
5-6 | 2,78 | 2,5 | – | 0,28 | 6,43 | 1,5 | 1,5 | 1,28 | 0,43 |
6-7 | 4,63 | 5 | 0,37 | – | 6,80 | 5,77 | 5,77 | – | 1,57 |
7-8 | 6,02 | 5 | – | 1,02 | 5,78 | 5,77 | 5,77 | 0,25 | 1,31 |
8-9 | 6,44 | 5 | – | 1,44 | 4,34 | 5,77 | 5,77 | 0,67 | 0,64 |
9-10 | 5,53 | 5 | – | 0,53 | 3,81 | 5,77 | 5,77 | – | 0,88 |
10-11 | 4,60 | 5 | 0,4 | – | 4,21 | 5,77 | 5,77 | – | 2,04 |
11-12 | 5,52 | 5 | – | 0,52 | 3,69 | 5,77 | 5,77 | – | 2,29 |
12-13 | 6,93 | 5 | – | 1,93 | 1,76 | 5,77 | 5,77 | 1,16 | 1,13 |
13-14 | 6,95 | 5 | – | 1,95 | -0,19 | 5,77 | 5,77 | 1,18 | -0,06 |
14-15 | 5,52 | 5 | 0,4 | 0,52 | -0,71 | 5,77 | 5,77 | – | 0,19 |
15-16 | 4,60 | 5 | – | – | -0,31 | 5,77 | 5,77 | – | 1,36 |
16-17 | 5,27 | 5 | – | 0,27 | -0,58 | 5,77 | 5,77 | – | 1,85 |
17-18 | 6,45 | 5 | – | 1,45 | -2,03 | 5,77 | 5,77 | 0,68 | 1,17 |
18-19 | 6,45 | 5 | – | 1,45 | -3,48 | 5,77 | 5,77 | – | 0,49 |
19-20 | 5,06 | 5 | – | 0,06 | -3,54 | 5,77 | 5,77 | 0,71 | 1,19 |
20-21 | 4,61 | 5 | 0,39 | – | -3,15 | 5,77 | 5,77 | 1,16 | 2,35 |
21-22 | 3,23 | 5 | 1,77 | – | -1,38 | 1,5 | 1,5 | – | 0,62 |
Продолжение таблицы 3.2
22-23 | 2,27 | 2,5 | 0,23 | – | -1,15 | 1,5 | 1,5 | – | -0,15 |
23-24 | 1,36 | 2,5 | 1,15 | – | 0 | 1,5 | 1,5 | 0,15 | 0,00 |
Всего | 100% |
4. Гидравлический расчет водоводов
Цель гидравлического расчета водоводов – определить потери напора при пропуске расчетных расходов воды. В данном разделе необходимо определить диаметр водоводов и потери напора. Методика определения описана в данных методических указаниях.
5. Расчет водонапорной башни
5.1. Определение высоты водонапорной башни
Высота водонапорной башни определяется по формуле (2.28)
Свободный напор в сети равен
Нсв= 10 + 4 (2 – 1) = 14 м.
Тогда высота водонапорной башни равна
Нвб= 1,13,80 + 14 + (92 – 100) = 10,8 м.
В курсовой работе разность геодезических отметок равна 0 (плоскость земли ровная).
5.2. Определение емкости бака водонапорной башни
Емкость бака водонапорной башни определяется по формулам 2.29-2.30.
W10миннз.пож= Qпрпож 10 60 / 1000 = (50+15) 10 60 / 1000 = 39 м3 ,
W10миннз.х-п.= Qпос.пр 10 / 60 = 502,23 10 / 60 = 84 м3.
таким образом
Wнз = 39 + 84 = 123 м3.
Регулирующий объем воды в емкостях определяем на основании графика водопотребления и режима работы НС-II , который приведен на рисунке 3.2 и в таблице 3.2.
Wрег= ( KQобсут) / 100 = 2,57232 / 100 = 181 м3,
В результате получаем емкость бака водонапорной башни
Wб= 123 + 181 = 304 м3.
По приложению 14 принимаем типовую водонапорную башню высотой 15 м с баком емкостью 500 м3.
Зная емкость бака, определяем его диаметр и высоту:
, (3.1)
Нб = Дб/ 1,5, (3.2)
В рассматриваемом примере эти величины составят
;Нб = 9,84 / 1,5 = 6,56 м.
Сохранение неприкосновенного запаса воды в баке водонапорной башни осуществляется за счет расположения на разных уровнях приемных патрубков хозяйственных и пожарных трубопроводов. Для отбора неприкосновенного запаса используется трубопровод с электрозадвижкой, который открывается при пуске пожарного насоса.
6. Расчет резервуаров чистой воды
Расчет производится по формулам 2.31-2.37.
Режим работы НС-II принимаем равномерным, при этом она должна подавать все 100% суточного расхода воды в поселке. Следовательно, часовая подача воды НС-I составляет 100 / 24 = 4,176% суточного расхода воды в поселке. Воспользуемся графиком, представленным на рисунке 3.2 для определения регулирующей емкости резервуаров в %:
Wрег= (5,77 – 4,176)15 = 23,910 %, или
Wрег= (4,176 – 1,5)(6 + 3) = 24,084 %
Зная суточный расход воды, определим регулирующий объем резервуара
Wрег= (723224,1) / 100 = 1743 м3.
Неприкосновенный объем бака РЧВ:
Wн.з.пож = 136,2533600 / 1000 = 1742 м3.
При определении Qпос.прне учитываем расходы на поливку территории, прием душа и т.п. Для нашего случая максимальный расход будет согласно таблицы 3.1.
Qпос.пр = 502,23 м3.
Поэтому неприкосновенный запас воды на хозяйственно-питьевые нужды
Wн.з.х-п.= Qпос.пр.= 502,233 = 1507 м3
Таким образом, объем неприкосновенного запаса воды будет равен
Wн.з.= 1742 + 1507 = 3249 м3.
Полный объем резервуаров чистой воды
Wрчв = Wрег+ Wн.з.= 1743 + 3249 = 4992 м3.
Согласно п. 9.21 СНиП 2.04.02-84*общее количество резервуаров должно быть не менее двух, причем уровни НЗ должны быть на одинаковых отметках, при выключении одного резервуара в остальных должно храниться не менее 50% НЗ, а оборудование резервуаров должно обеспечивать возможность независимого включения и опорожнения каждого резервуара.
Принимаем два типовых резервуара объемом 2000 м3каждый.
7. Подбор насосов для насосной станции II подъема
Из расчета следует, что НС-II работает в неравномерном режиме с установкой в ней двух основных хозяйственных насосов, подача которых будет равна
Qхоз.нас1= Qобсут1,5 / 100 = 72321,5 / 100 = 108,48 м3/ч = 30,13 л/с,
Qхоз.нас2= Qобсут4,27 / 100 = 72324,27 / 100 = 308,81 м3/ч = 85,78 л/с.
Необходимый напор хозяйственных насосов определяем по формулам 2.38 или 2.39.
Тогда
Hхоз.нас= 1,13,8 + 15 + 6,56 + (100 – 96) = 29,74 м.
Напор насосов во время пожара определяем по формуле
Hпож.нас= 1,1(hвод.пож+ hс.) + Нсв+ (Zд.т.– Zн.с.),
Тогда
Hпож.нас= 1,1(17,77 + 30,06) + 10 + (92 – 96) = 58,61 м.
Выбор типа НС-II (низкого или высокого давления) зависит от соотношения требуемых напоров при работе водопровода в обычное время и при пожаре, так как разница напоров более 10 м, то насосную станцию НС-II строим по принципу высокого давления.
Подбор марок насосов выполняем по приложениям 8 и 9.
Категорию насосной станции по степени обеспеченности подачи воды определяем по п. 7.1, а количество резервных агрегатов по табл. 32, п. 7.3 СНиП 2.04.02-84*.
Расчетные значения подачи и напора, принятые марки и количество насосов, категория насосной станции приведены в таблице 3.3.
Таблица 3.3. – Основные данные о принятых насосах
Назначение насоса | Расчетная подача насоса, л с-1 | Расчетный напор насоса, м | Принятая марка насоса | Категория НС-II | Количество насосов | |
рабочих | резервных | |||||
1 | 2 | 3 | 4 | 5 | 6 | 7 |
Хозяйственный | 30,13 | 29,74 | К160/30 (6К-8) | I | 1 | 1 |
Пожарный | 252,16 | 58,61 | Д1250-65 (12 НДс) | I | 1 | 1 |
Приложение 1
Федеральное агентство по образованию
Государственное образовательное
Учреждение высшего профессионального образования
«Омский государственный технический университет»
Кафедра Безопасности жизнедеятельности
studfiles.net
Нормы расхода на нужды пожаротушения
Расчетный расход воды на пожаротушение не входит в расчетную сумму суточного водопотребления города, однако его значение необходимо знать для проверки сети водопровода на пропуск требуемых количеств воды для тушения пожаров.
Расчетный расход воды на наружное пожаротушение и расчетное число одновременных пожаров при проектировании и реконструкции населенных мест следует принимать по табл. 6.
Таблица 6
Количество жителей в населенном пункте, тыс. чел. (до) | Расчетное число одновременных пожаров | Расход воды на 1 пожар, л/с, для зданий (независимо от степени огнестойкости) высотой | |
до 2 этажей включительно | 3 этажа и более | ||
5 | 1 | 10 | 10 |
10 | 1 | 10 | 15 |
25 | 2 | 10 | 15 |
50 | 2 | 20 | 25 |
100 | 2 | 25 | 35 |
200 | 3 | – | 40 |
300 | 3 | – | 55 |
400 | 3 | – | 70 |
500 | 3 | – | 80 |
600 | 3 | – | 85 |
700 | 3 | – | 90 |
800 | 3 | – | 95 |
1000 | 3 | – | 100 |
2000 | 4 | – | 100 |
Расход воды и расчетное количество одновременных пожаров для населенных пунктов с количеством жителей более 2 млн. чел. устанавливается в каждом отдельном случае в задании на проектирование по согласованию с органами Государственного пожарного надзора.
Расход воды на тушение пожаров на территории промышленных предприятий определяют в зависимости от степени огнестойкости здания, категории производства по пожарной опасности и объема здания. Так, для зданий с объемом от 3 до 5 тыс. м3 расчетный расход воды составляет 10л/с на один пожар при первой и второй степени огнестойкости здания и 20 л/с при четвертой и пятой степени огнестойкости здания. А при объеме здания более 400 тыс. м3 расчетный расход воды на 1 пожар не превышает 40 л/с. Причем, здания III, IV и V степеней огнестойкости при таких размерах не строятся.
Расчетное число одновременных пожаров принимают по условию:
1 пожар — при площади территории предприятия менее 150га;
2 пожара — при площади территории предприятия 150 га и более. Расход воды на тушение пожаров на территории предприятий рассчитывается по зданиям, для тушения которых требуется наибольший расход воды.
Для объединенного (производственного и противопожарного) водопровода расчетное число одновременных пожаров следует принимать: при площади территории предприятия до 150 га и количестве жителей в населенном пункте до 10 тыс. 1 пожар (на предприятии или в населенном пункте — по большему расходу) и 2 пожара (один на предприятии и один в населенном пункте) — при числе жителей в населенном пункте от 10 до 25 тыс.
При площади территории предприятия 150 га и более и количестве жителей населенного пункта до 25 тыс. следует принимать два одновременных пожара (оба на предприятии или оба в населенном пункте — по большему расходу), а при числе жителей населенного пункта более 25 тыс. число пожаров принимается отдельно для населенного пункта по табл. 1.6 и для предприятия.
Расчетная длительность пожара во всех случаях (в населенном пункте или предприятии) принимается равной трем часам. Подача полного расчетного расхода воды на тушение пожара должна быть обеспечена при наибольшем часовом расходе воды на другие нужды. При этом расходы воды на поливку территории, прием душей, мытье полов в производственных зданиях и мойку технологического оборудования не должны учитываться.
Расход воды на тушение пожара внутри зданий, оборудованных внутренними пожарными кранами, спринклерными2 и дренчерными3 установками, должен учитываться дополнительно к нормам расхода воды на наружное пожаротушение. Нормы расхода воды на внутреннее пожаротушение в производственных зданиях независимо от их объема и в общественных и жилых зданиях объемом более 25 тыс. м3 следует принимать из расчета двух пожарных струй производительностью не менее 2,5 л/с каждая; во вспомогательных зданиях, в общественных и жилых объемом менее 25 тыс. м3, а также в зданиях, оборудованных средствами автоматического пожаротушения из расчета одной пожарной струи производительностью не менее 2,5 л/с.
Расходы воды на тушение пожара при объединенном водоснабжении для спринклерных установок, внутренних пожарных кранов и наружных гидрантов следует принимать: не менее 15 л/с в течение первых 10 мин (до включения пожарных насосов), из них на питание спринклеров 10 л/с и на питание внутренних пожарных кранов 5 л/с; в течение последующего часа — 30—50 л/с на питание спринклеров, 5 л/с на питание внутренних пожарных кранов и 20—100 л/с на наружное пожаротушение для производственных зданий без фонарей с производствами категорий А, Б и В. Для зданий других типов — на питание спринклеров, согласно гидравлическому расчету спринклерной системы, но не более 30 л/с; на питание гидрантов 20 л/с и на питание внутренних пожарных кранов — 5 л/с.
Системой водоснабжения кроме обеспечения расчетных расходов воды на пожаротушение, должна быть предусмотрена возможность восстановления неприкосновенного противопожарного запаса в течение 24 ч — в населенных местах и на предприятиях с производством категорий А, Б и В и в течение 36 ч — на предприятия с производством категорий Г и Д.
studfiles.net
Расход воды на пожаротушение – Справочник химика 21
Расход воды на пожаротушение из сети противопожарного водопровода должен приниматься из расчета двух одновременных пожаров на предприятии — в производственной зоне и в зоне сырьевых или товарных складов (парков) горючих газов, легковоспламеняющихся и горючих жидкостей. [c.546]Как правило, лафетные установки присоединяются к противопожарному водопроводу стационарно через задвижку, располагаемую, вне пределов защищаемого объекта. Пенообразователь подается в установку от противопожарных машин установленными на них насосами. Напор у спрыска лафетного ствола должен быть не менее 40 м вод. ст., при этом радиус действия компактной струи — не менее 30 м, расход воды из ствола — не менее 17 л/с. При расчете расхода воды на пожаротушение для предприятия в целом расход воды на лафетные стволы не учитывается. [c.297]
Расход воды на пожаротушение зависит от того, где возник пожар, какой продукт горит, на какой площади и в каком объеме. [c.193]
Таким образом, минимальный расчетный расход воды на пожаротушение НПЗ или НХЗ составляет 320 л/с, или 1150 м ч. Для НПЗ топливного профиля мощностью 12 млн. т/год, расчетный расход воды на пожаротушение составляет 430 л/с, или 1550 м7ч. [c.193]
Устройство пирсов на открытых каналах систем охлаждения следует предусматривать на расстоянии не более 100 м от торцов главного корпуса. Необходимо также предусматривать подъезд машин и забор ими воды из бассейнов градирен и резервуаров с водой. При определении расчетных расходов воды на пожаротушение подача воды передвижной техникой не учитывается. [c.312]
Для частей зданий различной этажности или помещений различного назначения необходимость устройства внутреннего противопожарного водопровода и расхода воды на пожаротушение надлежит принимать отдельно для каждой части здания. При этом расход воды на внутреннее пожаротушение следует принимать [c.824]
Расход воды на пожаротушение 853 [c.853]
РАСХОД ВОДЫ НА ПОЖАРОТУШЕНИЕ [c.853]
Расчетная продолжительность тушения пожара в населенном пункте и на производстве принимается равной трем, по зданиям I и II степеней огнестойкости с производствами категорий Г и Д — двум часам. В течение этого времени должен быть обеспечен полный расчетный расход воды на пожаротушение при наибольшем часовом расходе ее на другие нужды за исключением расхода на полив, работу душевых, мойку полов и технического оборудования в производственных зданиях. [c.853]
Примечания 1. Для пожаротушения зданий, разделенных на части противопожарными стенками, расход воды рассчитывают по тем частям зданий, где требуется наибольший ее расход. 2. Расчетный расход воды на пожаротушение складов грубы кормов объемом более 1000 находящихся на территории сельскохозяйственных производственных комплексов и животноводческих ферм на промышленной основе, следует определять по данной таблице, относя эти склады к зданиям V степени огнестойкости производств категории В. 3. При расчете расхода воды на наружное пожаротушение животноводческих ферм на промышленной основе расход воды рассчитывают по данной таблице, относя их к зданиям с производством категории В. [c.855]
Указанные данные позволяют определить полный расчетный секундный расход воды на пожаротушение. При объединении противопожарного водопровода с другими системами водоснабжения к этой величине прибавляют максимальный секундный расход соответствующей системы. [c.246]
Хозяйственно-литьевой водопровод должен обеспечивать подачу воды с качеством, установленным ГОСТ 2874—73, и в количествах согласно указанным в СНиП. Производственный (технологический) водопровод рассчитывают по расходу воды, исходя из суммы расходов на нужды технологических процессов. Общий расчетный расход воды на пожаротушение складывается из расхода воды на наружное пожаротушение — от гидрантов на внутреннее — от пожарных кранов внутри здания, и на специальные средства тушения — лафетные стволы, водяные завесы, спринклерные и дренчерные установки, установки пенного тушения. [c.140]
Расход воды на пожаротушение из сети противопожарного водопровода должен приниматься из расчета двух одновременных пожаров на предприятии [c.46]
На площадке хранения каучука предусматривается кольцевой противопожарный водопровод, обеспечивающий подачу воды двумя одновременно действующими стационарными пожарными лафетными стволами, при одновременном отборе не менее 50 л/с воды через пожарные гидранты. При этом водопровод должен обеспечивать общий расход воды на пожаротушение не менее 100 л/с. [c.58]
Общий расчетный расход воды на пожаротушение (Q нож.) складывается из суммы наружного расхода (Q нар.) для тушения пожара от пожарных гидрантов наружной водопроводной сети, внутреннего расхода (Q вн.) для тушения [c.820]
Расход воды на наружное пожаротушение в населенном пункте должен быть не менее расхода воды на пожаротушение жилых и общественных зданий, указанных в табл. 3.26 [c.821]
В расчетное количество одновременных пожаров в населенном пункте включены пожары на промышленных предприятиях, расположенных в пределах населенного пункта. При этом в расчетный расход воды следует включать соответствующие расходы воды на пожаротушение на этих предприятиях, но не менее указанных в табл. 3.25. [c.821]
При двух расчетных пожарах на предприятии расчетный расход воды на пожаротушение следует принимать по двум зданиям, требующим наибольшего расхода воды. [c.822]
В противопожарных водопроводах высокого давления свободный напор в сети должен обеспечивать высоту компактной струи не менее Юм при полном расходе воды на пожаротушение и расположении пожарного ствола (стволов) на уровне наивысшей точки самого высокого здания. [c.826]
Свободный напор в сети противопожарного водопровода низкого давления (на уровне поверхности земли) при пожаротушении должен быть не менее 10 м, а в сети высокого давления — должен обеспечивать высоту компактной струи не менее 10 м при полном расходе воды на пожаротушение и расположении пожарного ствола на уровне наивысшей точки самого высокого здания. [c.486]
Примечание. В
www.chem21.info
27.1. Удельный расход воды на пожаротушение
Категория производства | Степень огнестойкости здания | Расход воды, л/с, при объеме зданий, тыс. м3 | ||||
До 3 | 3,1. ..5 | 5,1. ..20 | 20,1. ..50 | 50,1. ..200 | ||
Г, Д | I, II | 5 | 5 | 10 | 10 | 15 |
А, Б, В | I, II | 10 | 10 | 15 | 20 | 30 |
Г, Д | III | 10 | 10 | 15 | 25 | — |
В | III | 10 | 15 | 20 | 30 | — |
Г, Д | IV, V | 10 | 15 | 20 | 30 | — |
в | IV, V | 15 | 20 | 20 | 40 | — |
Необходимый объем воды для внутреннего пожаротушения, м3, рассчитывают в зависимости от расхода воды на одну струю и числа одновременно действующих струй по формуле
Qв= 3,6gвm Tпnп,
359
где gвит — соответственно расход воды на одну струю и число струй. Для производственных зданий и гаражей высотой до 50м принимают gB= 2,5 л/с ит = 2, для производственных и вспомогательных зданий промышленных предприятий высотой более 50 м gв= 5 л/с ит = 8.
Полная вместимость пожарного резервуара, м3,
Wп = Qн + Qв + Qт,
где Qт— регулируемый запас воды для хозяйственно-технических нужд, м3.
360
359::360::Содержание
360::361::362::363::364::Содержание
27.5. АВТОМАТИЧЕСКОЕ ОБНАРУЖЕНИЕ ПОЖАРОВ
Для быстрого и успешного тушения пожаров важно как можно раньше их обнаружить с целью своевременного включения автоматических средств тушения или вызова пожарных подразделений к месту загорания.
Автоматическая пожарная сигнализация предназначена для обнаружения пожара в начальной стадии развития, сообщения о месте его возникновения, а в случае необходимости и для введения в действие установок автоматического пожаротушения и дымоуда-ления. Наиболее распространены системы электрической пожарной сигнализации (ЭПС). Различают пожарные и охранно-пожарные системы ЭПС, включающие в себя следующие основные элементы: пожарные извещатели (датчики), реагирующие на изменение каких-либо физических параметров при возникновении в помещении пожара; приемно-контрольную станцию, принимающую сигналы от датчиков и передающую их на центральный пункт пожарной связи; линии связи; источник питания; звуковые или световые сигнальные устройства.
Пожарные извещатели по способу включения бывают ручного и автоматического действия.
Извещатели ручного действия в зависимости от способа соединения их с приемными станциями делят на лучевые и шлейфные. В лучевых системах каждый извещатель соединен с приемной станцией парой самостоятельных проводов, образующих отдельный луч. Каждый луч включает не менее трех извещателей. При ручном нажатии кнопки каждого из этих извещателей приемная станция получает сигнал, указывающий номер луча, т. е. место пожара. У пожарной сигнализации шлейфной системы извещатели включены последовательно в один общий провод (шлейф), начало и конец которого соединены с приемной станцией. В один шлейф включено до 50 извещателей. Действие такой системы основано на принципе передачи извещателем определенного числа импульсов (кода извещателя).
Автоматические пожарные извещатели в зависимости от фактора, на который они реагируют, бывают тепловые, дымовые, световые, ультразвуковые и комбинированные. По принципу
360
действия их делят на максимальные (срабатывающие при достижении максимально допустимого уровня какого-либо фактора), дифференциальные (реагирующие на скорость изменения параметра, на который они настроены) и максимально-дифференциальные (работающие как при определенной скорости нарастания температур, так и при критических температурах воздуха в помещении).
Тепловые извещатели (АТП-3В, АТИМ-1, АТИМ-3, АТП-3м, ДТЛ, ДПС-038, ПОСТ-1, ДМД, МДПИ-028 и др.) действуют при распространении теплоты от очага пожара. При пожаре нагретые массы воздуха устремляются вверх, поэтому термоизвещатели устанавливают на потолке охраняемого помещения. Чувствительными элементами тепловых извещателей могут быть биметаллические пластинки или спирали, пружинящие пластинки со спаянными легкоплавким припоем концами, электроконтактные термометры, терморезисторы, термопары и др. Датчики с плавкими или сгораемыми вставками (рис. 27.10, б) не восстанавливаются, а газовые, ртутные, жидкостные (рис. 27.10,а), металлические и биметаллические (рис. 27.10, в) самовосстанавливаются.
Термометр ртутного извещателя (рис. 27.10, а) имеет два контакта: нижний, постоянно соединенный с ртутью, и верхний, замыкаемый ртутью при температуре в помещении выше предельного значения. Так как контактные зажимы соединены с сигнальной линией, то при их замыкании подается сигнал тревоги.
Тепловой пожарный извещатель типа ДТЛ соответствует схеме, приведенной на рисунке 27.10, б. Это прибор одноразового действия. Он работает на разрыв электрической сети при достижении расчетной температуры плавления используемого в извещателе сплава: 72,5 °С. Температуру срабатывания максимальных термоизвещателей типа АТИМ и ПТИМ принимают на 20 °С выше нормальной рабочей температуры защищаемого помещения.
Пластинки биметаллических извещателей (см. рис. 27.10, в) при нагревании до критической температуры (60, 80 или 100 °С)
Рис. 27.10. Схемы тепловых извешателей:а — жидкостный;б — с легкоплавкой вставкой;в — типа АТИМ; 1 — линия к пульту пожарно-охранной сигнализации; 2—контакт;3— биметаллическая пластина;4— корпус; 5 — контактный винт
361
деформируются, замыкая (АТИМ-1, АТИМ-3, АТП-Зм) или размыкая контакты сигнальной цепи, и при этом звучит сигнал тревоги. Контролируемая площадь не превышает 15м2, инерционность извещателей около 2 мин. В сырых и пыльных помещениях, а также при выделении в помещениях паров и газов, вызывающих коррозию, применяют биметаллические извещатели герметичного исполнения.
Дифференциальные термоизвещатели (типа ДПС-038) настраивают на срабатывание при скорости нарастания температуры окружающего воздуха 5…10 °С в 1 мин. Контролируемая одним тепловым извещателем площадь составляет 15…30м2, продолжительность действия около 60 с.
Тепловые извещатели максимально-дифференциального действия (ДМД, МДПИ-028) работают как при увеличении скорости повышения температуры до определенного значения, так и при заданной критической температуре. Время срабатывания их не превышает 50 с, контролируемая площадь около 25 м2.
Дымовые извещатели по сравнению с извещателями других типов значительно быстрее обнаруживают очаг загорания, так как пожар может развиваться очень медленно, и дым в этом случае всегда сопутствует начальной стадии горения. Способы обнаружения дыма основаны на применении фотоэлементов или ионизационных камер с радиоактивными веществами (например, плутонием-239 в извещателе РИД-1). Дым, попадая в ионизационную камеру, снижает степень ионизации воздуха, что в итоге приводит к срабатыванию исполнительного реле приемной станции, которое включает систему сигнализации. Время срабатывания дымового извещателя при попадании в него дыма не превышает 5 с.
Световые извещатели (СИ-1, АИП-М, ДПИД и др.) характеризуются безынерционностью и большой (до 600 м2) зоной контроля. В световых извещателях используется явление фотоэффекта. Установленный в них фотоэлемент реагирует на ультрафиолетовую или инфракрасную часть спектра пламени. Так, автоматический извещатель ИО-1 реагирует на инфракрасное излучение с длиной волны 0,3*10-6…2*10-6м, преобразуя его в электрическую энергию, которая, поступая в приемную станцию, вызывает подачу сигнала тревоги.
Световой извещатель СИ-1 (рис. 27.11, а) состоит из датчика — счетчика фотонов, электрической схемы и сигнального реле. Счетчик фотонов обладает высокой чувствительностью и способен обнаружить даже небольшие очаги пламени (например, горение спички) практически мгновенно. Несмотря на высокую чувствительность, этот извещатель не срабатывает от дневного света, проходящего через оконные стекла, а также от электрического освещения, так как ультрафиолетовые лучи поглощаются стеклами окон и ламп. СИ-1 работает по принципу прямой видимости огня. При отсутствии прямой видимости для срабатывания
362
Рис. 27.11. Схемы извещателей:а — световой СИ-1: 1 — счетчик фотонов; 2 — крышка;3 — основание;б — комбинированный КИ-1
сигнализации может оказаться достаточным света от огня, отраженного каким-либо предметом, находящимся в помещении.
Однако световые извещатели можно применять только в закрытых помещениях, в которых отсутствуют источники ультрафиолетовых или инфракрасных излучений, открытое пламя, работающие сварочные аппараты, электрические искры и т. д.
Автоматический комбинированный извещатель типа КИ-1 (рис. 27.11,б) реагирует как на тепло, так и на дым. Он исполнен на базе дымового извещателя ДИ-1 с добавлением элементов электрической схемы, необходимых для обнаружения очага пожара по теплоте. Этот датчик срабатывает при температуре 60…80 °С или попадании в него дыма, создаваемого расположенным непосредственно под извещателем тлеющим фитилем диаметром 6мм. Контролируемая площадь составляет 100 м2.
Ультразвуковые извещатели (ДУЗ-4) реагируют на колеблющееся пламя и движущиеся объекты. Работа датчиков этого типа основана на эффекте Допплера, который заключается в том, что отраженные от движущихся предметов ультразвуковые колебания имеют частоту, отличную от излучаемой. Данные извещатели безынерционны и контролируют площадь до 1000 м2.
Пожарно-охранная сигнализирующая установка типа ФЭУП (фотоэлектрическое устройство для охраны помещений) работает за счет преобразования инфракрасного излучения в электрическую энергию. Охрана объекта достигается за счет создания невидимого инфракрасного луча вдоль заданного направления и подачи сигнала тревоги при ослаблении луча вследствие задымления помещения или пересечения его движущимся объектом.
Необходимо регулярно контролировать исправность извещателей систем ЭПС. Тепловые излучатели проверяют с помощью переносного источника теплоты (например, лампы мощностью не менее 150 Вт с рефлектором) не реже одного раза в год. Работу дымовых и комбинированных излучателей контролируют, как
363
правило, один раз в месяц посредством переносных источников дыма и теплоты. Световые извещатели проверяют пламенем свечи или спички.
364
360::361::362::363::364::Содержание
364::365::Содержание
studfiles.net
